anomalousdecay
Premium Member
- Joined
- Jan 26, 2013
- Messages
- 5,757
- Gender
- Male
- HSC
- 2013
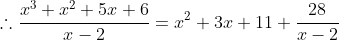
So when I type this:
[noparse]
[/noparse]
It shows up as this:
 = \frac{x^3 + x^2 + 5x +6}{x-2} \\ \\ \\ \lim_{x \to \infty} f(x) \rightarrow x^2 + 3x + 11 )
Also another example:
[noparse]
[/noparse]
As:

It is happening frequently with my \frac{...}{...} tags.
Is this happening to anyone else? Is there a mistake in my coding?
[noparse]
It shows up as this:
Also another example:
[noparse]
As:
It is happening frequently with my \frac{...}{...} tags.
Is this happening to anyone else? Is there a mistake in my coding?
Last edited:
