IB Maths Marathon (1 Viewer)

davidgoes4wce

Well-Known Member
Joined
Jun 29, 2014
Messages
1,871
Location
Sydney, New South Wales
Gender
Male
HSC
N/A
Re: International Baccalaureate Marathon 2016

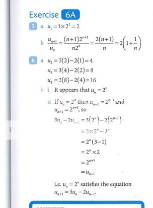
Maths SL Cambridge Ex 6A Q6



This was the solution:




Now where I was stuck on was part (b) (ii)

I did it a slightly different way, when looking at the RHS

Like the book I assumed:



The only difference where I didn't understand was this step, I included the 2 in front of the bracket as mentioned in the question









 

InteGrand

Well-Known Member
Joined
Dec 11, 2014
Messages
6,089
Gender
Male
HSC
N/A
Re: International Baccalaureate Marathon 2016

Maths SL Cambridge Ex 6A Q6



This was the solution:




Now where I was stuck on was part (b) (ii)

I did it a slightly different way, when looking at the RHS

Like the book I assumed:



The only difference where I didn't understand was this step, I included the 2 in front of the bracket as mentioned in the question









 

davidgoes4wce

Well-Known Member
Joined
Jun 29, 2014
Messages
1,871
Location
Sydney, New South Wales
Gender
Male
HSC
N/A
Re: International Baccalaureate Marathon 2016

Curious little fact about negative numbers mentioned in the book

"In Europe, it took until the 17th century for negative numbers to be accepted."

An Indian mathematician Brahmagupta , who's name comes up fairly frequently was the first to introduce the idea.
 

parad0xica

Active Member
Joined
Mar 24, 2016
Messages
204
Gender
Male
HSC
N/A
Re: International Baccalaureate Marathon 2016

To the above working out, you can verify the solution by plugging in x = pi/2. RHS yields 20 which exceeds the range of the sine function. So you probably made a small error somewhere

pi/2 because sin(pi/2) is easily calculated
 

parad0xica

Active Member
Joined
Mar 24, 2016
Messages
204
Gender
Male
HSC
N/A
Re: International Baccalaureate Marathon 2016

This:



To this:



But it should be:



Also, your final result is still wrong because substituting x = pi/2 yields 20.
 

Users Who Are Viewing This Thread (Users: 0, Guests: 1)

Top