CriminalCrab
Member
- Joined
- Mar 14, 2011
- Messages
- 32
- Gender
- Undisclosed
- HSC
- 2012
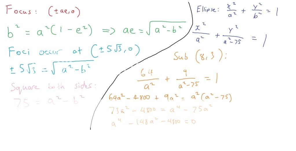
1. Find the equation of the ellipse with centre the origin and foci at points (-5root3,0) and (5root3,0), given that it passes through the point (8,3)
Ans:x^2 +4y^2=100
2. P is the point (acostheta,bsintheta) on the ellipse E: [general form of ellipse eqn] with eccentricity e and foci S,S'. Show that SP=a(1-ecostheta) and find an expression for S'P. Hence prove that the sum of the focal distances PS,PS' is independent of the position of P on the ellipse.
Thanks in advance, maths nerds.
enjoying holidays? =)
Ans:x^2 +4y^2=100
2. P is the point (acostheta,bsintheta) on the ellipse E: [general form of ellipse eqn] with eccentricity e and foci S,S'. Show that SP=a(1-ecostheta) and find an expression for S'P. Hence prove that the sum of the focal distances PS,PS' is independent of the position of P on the ellipse.
Thanks in advance, maths nerds.
enjoying holidays? =)
