Cambridge Prelim MX1 Textbook Marathon/Q&A (3 Viewers)

davidgoes4wce

Well-Known Member
Joined
Jun 29, 2014
Messages
1,871
Location
Sydney, New South Wales
Gender
Male
HSC
N/A
Re: Year 11 Mathematics 3 Unit Cambridge Question & Answer Thread

My thinking is, this is the final representation of p(x) when divided by 2x+1, and shows a remainder of -5/2. We know this is the end because -5/2 cannot be divided by 2x+1 any more (-5/2 has lower degree than 2x+1)
 

davidgoes4wce

Well-Known Member
Joined
Jun 29, 2014
Messages
1,871
Location
Sydney, New South Wales
Gender
Male
HSC
N/A
Re: Year 11 Mathematics 3 Unit Cambridge Question & Answer Thread

Cambridge Ch 10 D, Q 11b

Find the nth and (n+1) th derivatives of x^n

the answer is (n-1)(n-2)......1,0. I'm not 100% sure why that is.
 

Ambility

Active Member
Joined
Dec 22, 2014
Messages
336
Gender
Male
HSC
2016
Re: Year 11 Mathematics 3 Unit Cambridge Question & Answer Thread

Cambridge Ch 10 D, Q 11b

Find the nth and (n+1) th derivatives of x^n

the answer is (n-1)(n-2)......1,0. I'm not 100% sure why that is.
I thought the nth derivative of x^n was n! or n(n-1)(n-2) ... 1
 

leehuan

Well-Known Member
Joined
May 31, 2014
Messages
5,794
Gender
Male
HSC
2015
Re: Year 11 Mathematics 3 Unit Cambridge Question & Answer Thread

The (n+1)th derivative of x^n is 0 though
As is the nth derivative of x^(n-1)

The nth derivative can be simply computed by finding the pattern

etc.
 

appleibeats

Member
Joined
Oct 30, 2012
Messages
375
Gender
Male
HSC
2016
Re: Year 11 Mathematics 3 Unit Cambridge Question & Answer Thread

I understand David's working up until his box with Now....

Is that just a trick to get a constant with no x in it?

And also, why did you multiply through by 2x + 1 in the next line? Didn't you divide through a few steps prior.

Thanks.
 

davidgoes4wce

Well-Known Member
Joined
Jun 29, 2014
Messages
1,871
Location
Sydney, New South Wales
Gender
Male
HSC
N/A
Re: Year 11 Mathematics 3 Unit Cambridge Question & Answer Thread

I understand David's working up until his box with Now....

Is that just a trick to get a constant with no x in it?

And also, why did you multiply through by 2x + 1 in the next line? Didn't you divide through a few steps prior.

Thanks.
You are looking for the remainder when you divide it by 2x+1. The first part, q(x)(2x+1)(x-3) divides exactly by 2x+1.
So you want to find out the remainder when you divide 3x-1 by 2x+1.
3x-1 = 3/2(2x+1) - 5/2
 

leehuan

Well-Known Member
Joined
May 31, 2014
Messages
5,794
Gender
Male
HSC
2015
Re: Year 11 Mathematics 3 Unit Cambridge Question & Answer Thread

I understand David's working up until his box with Now....

Is that just a trick to get a constant with no x in it?

And also, why did you multiply through by 2x + 1 in the next line? Didn't you divide through a few steps prior.

Thanks.
With that box, just expand it out

3/2(2x+1) = 3x+3/2 = (3x-1) + 5/2

But I reckon his approach and not using the remainder theorem is a bit overcomplicating
 

appleibeats

Member
Joined
Oct 30, 2012
Messages
375
Gender
Male
HSC
2016
Re: Year 11 Mathematics 3 Unit Cambridge Question & Answer Thread

I get it now. Thanks.
 

appleibeats

Member
Joined
Oct 30, 2012
Messages
375
Gender
Male
HSC
2016
Re: Year 11 Mathematics 3 Unit Cambridge Question & Answer Thread

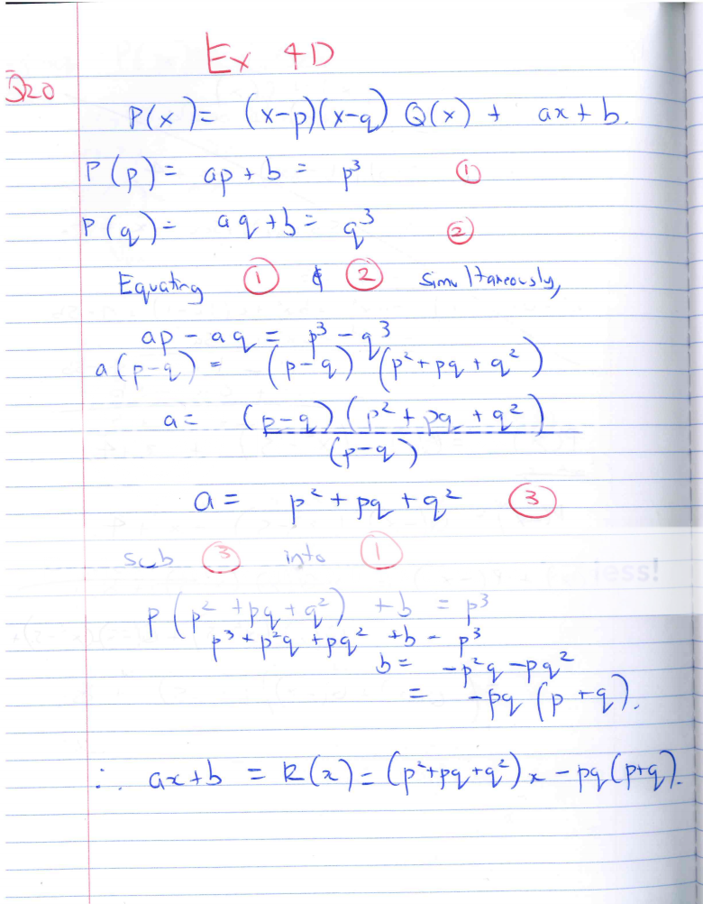
Screen Shot 2016-04-14 at 8.50.05 pm.png

Not sure where to go from here:

I have:

P(x) = (x-p)Q(x) + p^3

P(x) = (x-q)Q(x) + q^3
 

appleibeats

Member
Joined
Oct 30, 2012
Messages
375
Gender
Male
HSC
2016
Re: Year 11 Mathematics 3 Unit Cambridge Question & Answer Thread

Screen Shot 2016-04-15 at 7.21.52 pm.png

Having difficulties with part b)

Answer is: period: 2pi/3 , amplitude: 2root13, max speed 6root13, absolute acceleration = 9root13
 

leehuan

Well-Known Member
Joined
May 31, 2014
Messages
5,794
Gender
Male
HSC
2015
Re: Year 11 Mathematics 3 Unit Cambridge Question & Answer Thread

Period is easy.
T = 2pi/n = 2pi/3

Just convert it back to a more appropriate form with the method of the auxiliary angle



Amplitude = sqrt(52) = 2 sqrt(13)

First derivative can be used to find the max speed

Last part rewrite it first as x" = -n^2.x and then x = sqrt(13) if you look at the question
 

appleibeats

Member
Joined
Oct 30, 2012
Messages
375
Gender
Male
HSC
2016
Re: Year 11 Mathematics 3 Unit Cambridge Question & Answer Thread

It all worked out. Just wondering if there is a shortcut for the auxiliary angle method. Going through that method took about half of the entire working of the question.
 

appleibeats

Member
Joined
Oct 30, 2012
Messages
375
Gender
Male
HSC
2016
Re: Year 11 Mathematics 3 Unit Cambridge Question & Answer Thread

Screen Shot 2016-04-15 at 9.24.32 pm.png

Stuck on part b)

Answers says 2pi cm/s , +/- 3pi^2 / 8 cm/s^2
 

leehuan

Well-Known Member
Joined
May 31, 2014
Messages
5,794
Gender
Male
HSC
2015
Re: Year 11 Mathematics 3 Unit Cambridge Question & Answer Thread

View attachment 33112

Stuck on part b)

Answers says 2pi cm/s , +/- 3pi^2 / 8 cm/s^2
Keep in mind T=2π/n so 8 = 2π/n
n = π/4

For SHM, when they give you these questions you're better off not finding the time but rather just using these equations:


And the amplitude is 10

Keep in mind that you do typically have to derive the latter though
 

leehuan

Well-Known Member
Joined
May 31, 2014
Messages
5,794
Gender
Male
HSC
2015
Re: Year 11 Mathematics 3 Unit Cambridge Question & Answer Thread

It all worked out. Just wondering if there is a shortcut for the auxiliary angle method. Going through that method took about half of the entire working of the question.
Inspection.
Ok here's the thing. I actually suspect that inspection IS ok for the auxiliary angle method so I'm not disputing Para here for his typical phrases. But I am unsure.

Fact is, the rules always happen to be this:


So provided you can remember what R and alpha are (keeping in mind alpha is between 0 and π/2), and that for cos you have to flip the sign, these things are quite easy to inspect.

However, in the preliminary 3U course doing this was probably forbidden. I'm not sure if in the HSC 3U and 4U courses this is fine though.
 

Users Who Are Viewing This Thread (Users: 0, Guests: 3)

Top