• Best of luck to the class of 2025 for their HSC exams. You got this!
    Let us know your thoughts on the HSC exams here

HSC 2012-14 MX2 Integration Marathon (archive) (2 Viewers)

Status
Not open for further replies.

Drongoski

Well-Known Member
Joined
Feb 22, 2009
Messages
4,234
Gender
Male
HSC
N/A
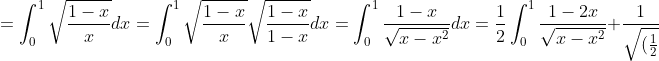
Re: MX2 Integration Marathon

Just saw this.


 
Last edited:
Status
Not open for further replies.

Users Who Are Viewing This Thread (Users: 0, Guests: 2)

Top